Projets en cours
Projets 2019 en très bref
- Expliquer le scaling de la conductivité optique près de la transition de Mott
- Déterminer le diagramme de phase supraconducteur-onde de densité de charge de BaBiO3
- Utiliser des méthodes d'intelligence artificielle pour faire le prolongement analytique de coefficients de transport.
- Accélérer la découverte de matériaux magnétocaloriques en utilisant des méthodes d'intelligence artificielle
- Accélérer les algorithmes de Monte Carlo quantique en temps continu à l'aide de l'intelligence artificielle.
- Démontrer l'existence de la transition de Mott à température finie sans effets magnétiques.
- Expliquer les aspects curieux de la supraconductivité dans Sr2RuO4
- Trouver si la corrélation expérimentale entre occupation des orbitales d'oxygène dans le modèle à trois bandes et température de transition supraconductrice peut être vérifiée théoriquement.
- Vérifier si la transition de Sordi est toujours observable dans des réseaux frustrés plus grands que 2x2.
- Vérifier si les méthodes d'amas quantique peuvent reproduire la relation d'Uemura
- Généraliser la méthode auto-cohérente à deux particules et y inclure l'effet des fluctuations de spin
Projets 2017
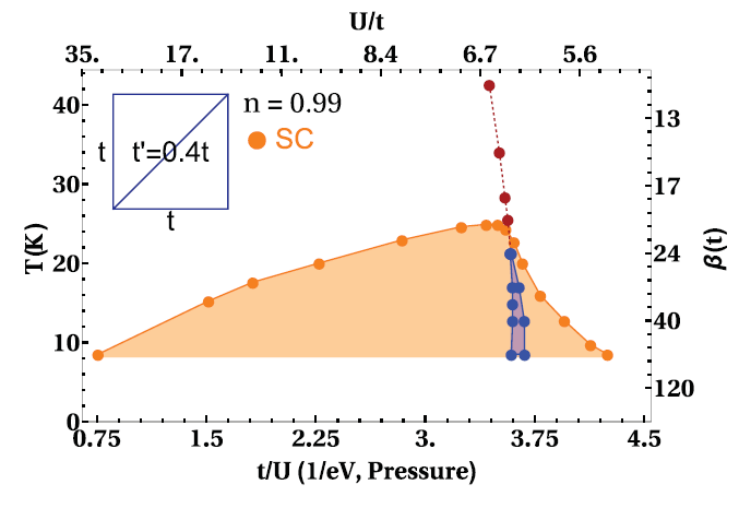
Effet magnétocalorique et corrélations fortes
Projet de Reza Jourafkan (Assistant de recherche). Collaborateurs: Chloé Aminata Gauvin-Ndiaye, Philippe Karan, Étienne Massé, Patrick Fournier (UdeS) Mohamed Bali (UdeS) Michel Côté (UdeM)
Le groupe expérimental du professeur Patrick Fournier explore de nouveaux matériaux qui seraient pratiques pour la réfrigération magnétique. Nous utilisons les méthodes les plus sophistiquées de simulation pour guider cette recherche expérimentale. Une bourse de maîtrise ou de doctorat est diponibles pour ce projet.

Pseudogap dans les supraconducteurs à haute température
Projet IQ comprend deux sous projets
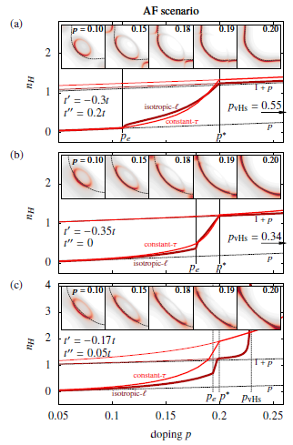
Pseudogap à température finie
Projet de Alexis Reymbaut (Assistant de recherche). Collaborateurs Simon Bergeron et groupe Louis Taillefer
À l'aide du Monte Carlo en temps continue, nous caractérisation l'origine de la ligne T* à laquelle la densité d'états au niveau de Fermi disparaît.
Pseudogap à température nulle
Projet de Simon Verret (PhD) et de Maxime Charlebois (Postdoc), Collaborateurs: groupe Louis Taillefer et David Sénéchal
Des approches phénoménologiques nous permettent de comprendre ctte phase étrange des supraconducteurs à haute température dans la llimite basse température et fort champ magnétique où le problème se simplifie.


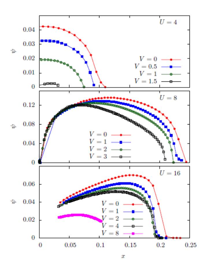
Supraconductivité fortement corrélée
Trois sous-projets
Supraconducteurs organiques en couches
Projet de Charles-David Hébert (PhD)
Ces matériaux peuvent être décrits par le modèle de Hubbard sur un réseau triangulaire anisotrope. Si on les considère du point de vue de leur rapport t/U, lorsqu'ils deviennent supraconducteurs, ce sont des supraconducteurs à haute température. Cependant, la densité d'électrons correspond au demi remplissage. Il est donc possible d'observer explicitement la transition de Mott de premier ordre.
État normal et ligne de Widom
Projet de Charles-David Hébert (PhD)
À l'aide de la théorie de champ moyen dynamique sur amas, on cherche à obtenir leur diagramme de phase, en particulier la transition de sordi dans l'état normal qui influence l'état supraconducteur.

Loi de Homes
Projet de Charles-David Hébert (MSc)
Nous essayons de vérifier si les approches de champ moyen dynamique permettent d'expliquer la loi dite de Homes, reliant rigidité superfluide, conductivité électrique et valeur de la température de transition supraconductrice.

Effet de la compétition de phase sur la rigidité superfluide
Projet de Olivier Simard (MSc) Collaborateur Charles-David Hébert et groupe de David Sénéchal
On croit que la rigidité superfluide est ce qui détermine la valeur de la température de transition supraconductrice dans les supraconducteurs à haute température près du demi-remplissage. Calculer l'effet de l'ordre à longue portée sur la rigidité superfluide permettrait de vérifier cette hypothèse.
Transport dans les semi-métaux de Weyl
Projet IQ de Shaheen Acheche (PhD). Collaborateurs (Reza Nourafkan), Ion Garate (UdeS) David Sénéchal (UdeS)
Les semi-métaux de Weyl ont des structures électroniques avec des propriétés topologiques non-triviales. On cherche à trouver à quel point les interactions influencent les propriétés de transport.

Amélioration des méthodes de simulation
Développement en interaction pour le Monte Carlo en temps continu.
Projet IQ de Charles-David Hébert (PhD) et de Maxime Charlebois (postdoc)
Le développement de méthodes permettant de faire des calculs sur des amas de plus grande taille serait très utile.
Nouveau solutionneur utilisant les méthodes de réseau de tenseur
Projet de Saeed Jarohmi (postdoc) et Alexandre Foley étudiant PhD de David Sénéchal. Collaborateurs, Glen Evenbly (UdeS) D. Poulin (UdeS)
Projets avec collaborateurs externes
Supraconductivité chirale dans le ruthénate de Strontium
Projet de Olivier Gingras. Collaborateurs Reza Nourafkan, Michel Côté (UdeM)
Supraconductivité fortement corrélée
Projet de Giovanni Sordi (Royal Holloway, University of London)
Calculs avec la théorie de champ moyen dynamique sur amas pour les modèles à une bande et à trois bandes des supraconducteurs à haute température de transition.
Supraconductivité dans les cuprates dopés aux électrons
Projet IQ de Arya Subramonian (PhD) Collaborateur SR Hassan (IMSC Chennai)
Une méthode valable de couplage faible à intermédiaire (TPSC) est utilisée pour essayer d'expliquer le diagramme de phase de ces composés.
Généralisation de la méthode TPSC à la phase antiferromagnétique
Projet de Jan Gukelberger (Google)
Il s'agit d'une étape qui permettrait d'utiliser cette méthode pour des calculs de structure électronique réalistes.
